Quinta Practica:
Introducción:
Para esta quinta práctica de laboratorio haremos uso del simulador CircuitVerse y las aplicaciones del Algebra de Boole para reducir las ecuaciones de los diferentes circuitos. También haremos uso de Maxterminos y Minterminos los cuales son expresiones algebraicas booleanas las cuales usaremos para representar cada uno de los segmentos del display 7 segmentos, en el cual hallaremos la ecuación de cada segmento y después aplicaremos Algebra de Boole para reducir dicha ecuación por lo que usaremos las tablas de verdad para poder demostrar la equivalencia del circuito original con respecto al reducido.
Maxtérminos:
Es una expresión lógica de n variables que consiste únicamente en la disyunción lógica y el operador complemento o negación. Los maxterminos son una expresión dual de los minterminos. En vez de usar operaciones AND utilizamos operaciones OR y procedemos de forma similar.Por ejemplo, los siguientes son maxterminos:


Minterminos:
Para una función booleana de n variables x1,…xn, un producto booleano en el que cada una de las n variables aparece una sola vez (negada o sin negar) es llamado mintermino. Es decir, un mintermino es una expresión lógica de n variables que consiste únicamente en el operador de conjunción lógica (AND) y el operador de complemento o negación (NOT). Por ejemplo:


Display 7 segmentos:
Es un dispositivo que permite visualizar números del 0 al 9. Aunque en este caso representaremos con letras los números restantes para poder representar los números del 0 al 15.Existen dos tipos de display, de cátodo común y de ánodo común.
Catodo Comun

Anodo Comun

Tablas de verdad:
Para poder representar el funcionamiento lógico que cumple nuestro circuito usamos las Tablas de verdad.
Estas tablas consisten en representar todas las posibles combinaciones de valores que pueden tomar nuestras variables que se encuentran a la entrada del circuito, de la misma manera mostrara todas las posibles salidas o resultados que generan nuestras entradas.También está nos beneficiará ya que es la herramienta que debemos emplear para obtener la forma canónica de la función del circuito, para así poder simplificar y conseguir la función más óptima.

Metodología:
1. Materiales:
Como en este laboratorio mostraremos la ecuación original y la reducida pero solo montaremos el circuito reducido solo habrá una lista de materiales.
Montaje reducido:
– 5 puertas X-NOR de 2 entradas
– 4 puertas X-OR de 2 entradas
– 9 puertas OR de 3 entradas
– 6 puertas OR de 2 entradas
– 1 puerta NOR de 2 entradas
– 9 puertas NOT
– 9 puertas AND de 2 entradas
– 1 NAND de 3 entradas
– 1 OR de 4 entradas
– 4 NAND de 2 entradas
– 4 entradas lógicas
– 1 salida de Display de 7 segmentos
Procedimiento:
En este laboratorio se trabajara con una lógica positiva lo que quiere decir que nuestro display de 7 segmentos es del tipo de cátodo común. A continuación llenaremos la tabla de verdad con lo números binarios del 0-15 y asignando a su vez los segmentos que se van a encender en el display para visualizar cada uno de las caracteres a observar.
Tabla de verdad:

Ya obtenida la tabla de valores vamos a aplicar las expresiones algebraicas booleanas de maxterminos adquiridos de la tabla de verdad obteniendo la ecuación original del circuito a montar:


Montaje Reducido:
Luego de tener la ecuación original nos disponemos a reducirla por medio del Algebra de Boole aplicando teoremas, axiomas, leyes y la Ley de Morgan tenemos el siguiente montaje:

Análisis de Resultados:
De la tabla de verdad se obtuvo por medio de maxterminos la ecuación original, la cual es necesario reducir para obtener el montaje reducido por lo tanto para cada segmento tenemos:
Segmento a:

Segmento b:

Segmento c:

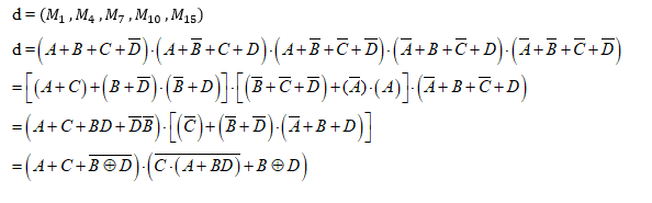
Segmento d:

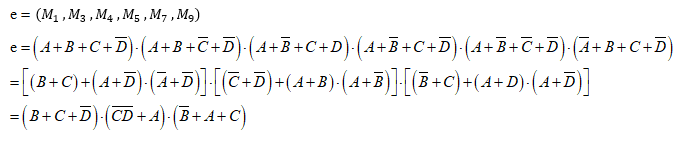
Segmento e:

Segmento f:

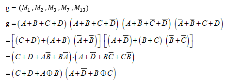
Segmento g:

Conclusiones:
– Observar que cuando usamos expresiones algebraicas boolenas como maxterminos observamos que para reducir ecuaciones viene muy conveniente usar las compuertas X-NOR y X-OR ya que con estas el circuito queda mucho mas reducido, aplicando igualmente el Algebra de Boole y la Ley de Morgan.
-Entender que las expresiones algebraicas booleanas como los maxterminos y minterminos sirven bastante para el desarrollo de problemas. Como se pudo observar fue de cierta manera mas sencillo reducir las ecuaciones para la decodificacion del sistema binario al display de 7 segmentos.
-Recalcar la importancia de las tablas de verdad al momento del diseño digital ya que facilita mucho las cosas, no solo para expresar estas ecuaciones por maxterminos o minterminos sino para comprobar la equivalencia de dos circuitos y facilitar la reducción de ecuaciones.